BAB II : DESAIN PERANCANGAN ALUR UNTUK MULTIMEDIA INTERAKTIF BERBASIS HALAMAN WEB DAN MEDIA INTERAKTIF
A. Flowchart Multimedia Interaktif
Flowchart adalah bagian-bagian yang mempunyai arus yang menggambarkan langkah –langkah penyelesaian suatu masalah. Untuk multimedia interaktif flowchart menggambarkan secara langsung alur dari proyek yang dibuat. Mulai dari awal program, input, proses, output dilanjutkan dengan keluar dari program.
Bentuk-bentuk yang digunakan dalam flowchart
Penerapan flowchart diatas untuk program multimedia interaktif model tutorial seperti di bawah ini
Struktur navigasi proyek multimedia antara lain :
1. Linier
Navigasi yang dilakukan secara beruntun, sehingga pengguna melakukannya satu per satu secara berurutan.
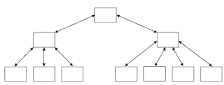
2. Hierarki
Navigasi cabang pohon, yang merupakan linier dengan percabangan.
3. Nonlinier
Navigasi yang dilakukan secara bebas tanpa melalui jalur yang telah ditentukan. Pengguna dapat bergerak bebas tanpa ada pembatasan.
4. Komposit
Navigasi ini dapat bergerak bebas (non linier) tetapi terkadang ada pembatasan navigasi linier.
B. Storyboard Multimedia Interaktif
Storyboard atau kerangka grafis digunakan untuk mendiskripsikan proyek multimedia interaktif dengan detail menggunakan kata-kata dan sketsa untuk setiap tampilan layar, suara, pilihan navigasi, pilihan warna dan gradasi yang tepat, isi teks, atribut dan font, bentuk tombol, style, umpan balik/respon.
Fungsi Storyboard multimedia interaktif adalah
1. Untuk memperjelas flowchart
2. Sebagai pedoman/acuan bagi animator, progamer, narrator dan tim yang lain
3. Merupakan dokumen tertulis
4. Bahan pembuatan Manual Book/petunjuk pengguna
Ketentuan-ketentuan umum storyboard multimedia interaktif adalah
1. Gambar yang disiapkan disertai dengan penjelasan dan narasi
2. Pembuatan storyboard diawali dengan gambar visual
3. Narasi digunakan untuk melengkapi hal sulit yang tidak bisa diwakili dengan bentuk visual
4. Bahasa lisan yang digunakan terutama yang dibaca oleh narator
5. Gunakan struktur kalimat yang sederhana
6. Gunakan symbol yang sederhana dan mudah dipahami oleh semua orang
7. Gunakan gambar dalam bentuk yang menarik serta komposisi yang tepat dan mudah dipahami
Storyboard
|
TAMPILAN MENU UTAMA
Berisi TOMBOL DI MENU BAR
1. HOME
2. TUJUAN
3. MATERI
4. VIDEO
5. EVALUSI
6. PROFIL
DENGAN TOMBOL NAVIGASI PENDUKUNG Berisi
1. TOMBOL EXIT
2. TOMBOL PETUNJUK
TAMPILAN MENU MATERI
DENGAN SUB MENU
1. KONSEP DASAR
2. SEGITIGA EXPOSURE
3. ISO
4. SPEED
5. DIAFRAGMA
6. MENGOPERASIKAN
|
Hasil setelah render
|
C. Format Storyboard dan Komponen
Format storyboard multimedia interaktif antara lain kartu, double coloum dan landscape.
Format Storyboard Jenis Kartu
Format Storyboard jenis Double Coloum
Format Storyboard Jenis Lanscape-1
Multimedia interaktif
Berdasarkan Kurikulum 2013
|
Format Storyboard Jenis Lanscape-2
TEKS : Modul Interaktif
MELAKUKAN PENGUJIAN MIKROBIOLOGI DASAR
Ada sub. Kompetensi pada Pengujian Microbiologi Dasar ini yaitu :
1. Mempersiapkan bekerja secara aman dan aseptic
2. Memproses sampel untuk pemeriksaan langsung
3. Menyiapkan biakan murni
4. Menyelenggarakan prosedur dalam identifikasi
5. Memperkirakan jumlah mikro organisme
6. Merawat catatan pekerjaan labotarium
|
Gambar Video Animasi
· Gambar kumpulan dari jenis alat yang aseptic
· Persiapan biakan murni, tabung reaksi dan petridish
· Menghitung jumlah organisme
| |||
NARASI :
1. Melakukan pengujian Mkrobiologi Dasar
2. Ada sub. Kompetensi pada Pengujian Mikrobiologi Dasar ini yaitu:
a. Mempersiapkan bekerja secara aman dan aseptic
b. Memproses sampel untuk pemeriksaan langsung
c. Menyiapkan biakan murni
d. Menyelenggarakan prosedur dalam identifikasi
e. Memperkirakan jumlah mikro organisme
f. Merawat catatan pekerjaan laboratorium
| ||||
LINK KE : TES BACK TO
Masing-masing ……
|
Komponen-komponen penyusun storyboard interaktif antara lain
· Sketsa atau gambaran layar, halaman atau frame
· Warna, penempatan dan ukuran grafik, jika perlu
· Teks asli, jika ditampilkan pada halaman atau layar
· Warna, ukuran dan tipe font jika ada teks
· Narasi jika ada
· Animasi jika ada
· Video jika ada
· Audio jika ada
· Interaksi dengan pengguna jika ada
· Hal-hal yang perlu diketahui oleh staf produksi
D. Template Storyboard
Contoh storyboard multimedia interaktif model kartu
Storyboard
. . . . . . . . . . . . . . . . . . . . . . . . . . . . . . . . . . . . . . . . . . . . . . . . . . . . . . . . . . . .
Project : CD PEMBELAJARAN
Date :
. . . . . . . . . . . . . . . . . . . . . . . . . . . . . . . . . . . . . . . . . . . . . . . . . . . . . . . . . . . .
Screen : 1-of-23 screen description :
Links from screens : semua screen Mendiskripsikan tentang mengoperasikan
Links to screen : 1 kamera DSLR pada bagian Shutter Speed
. . . . . . . . . . . . . . . . . . . . . . . . . . . . . . . . . . . . . . . . . . . . . . . . . . . . . . . . . . . . .
Functionality/interactivity : Button function
Background: audio:
Color schemes: video:
Text attributes: stills:
|
Hasil Storyboard multimedia interaktif diatas
Template Multimedia Interaktif
Storyboard
. . . . . . . . . . . . . . . . . . . . . . . . . . . . . . . . . . . . . . . . . . . . . . . . . . . . . . . . . . . .
Project :
Date :
. . . . . . . . . . . . . . . . . . . . . . . . . . . . . . . . . . . . . . . . . . . . . . . . . . . . . . . . . . . .
Screen : 1-of-23 screen description :
Links from screens : semua screen
Links to screen : 1
. . . . . . . . . . . . . . . . . . . . . . . . . . . . . . . . . . . . . . . . . . . . . . . . . . . . . . . . . . . . .
Functionality/interactivity :
VISUAL TAMPILAN/INTERFACE
Background: audio:
Color schemes: video:
Text attributes: stills:
|











Komentar
Posting Komentar